Toggle navigation
HOME
QUIENES SOMOS
PRODUCTOS
UTILIDADES
CONTACTENOS
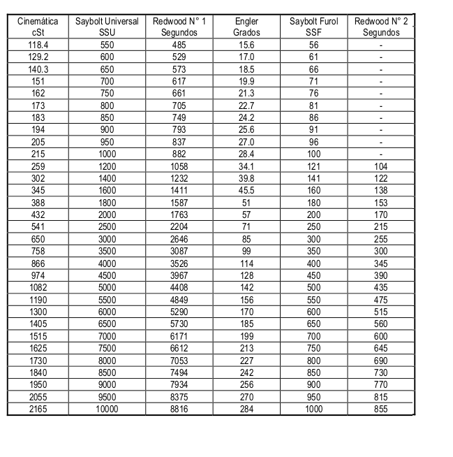
Equivalencia Entre Viscosidad Medidas A Una Misma Temperatura.
Cifras TÃpicas